Pilih merek ZΞN untuk pompa submersible sumur dalam 6SP yang andal dan berkualitas tinggi. Pengidentifikasi*6SP*6: Diameter lubang bor: 148mm (6")* SP: baja tahan karat* 30: Kapasitas (m³/jam)* 03: Adegan* 3.0 : Tenaga mesin (KW)
Pompa submersible sumur dalam 6SP
1. Untuk mensuplai air dari sumur atau waduk.
2. Untuk keperluan rumah tangga, sipil dan industri.
3. Untuk keperluan taman dan irigasi.
1. Suhu cairan maksimum bisa mencapai +35°C.
2. Kadar pasir maksimal : 0,25%.
3. Kedalaman menyelam maksimum: 100m.
4. Diameter sumur minimum: 6".
1. Motor listrik dengan banyak belitan atau layar tertutup penuh
2. Tiga fase: 380V - 415V / 50Hz
3. Dilengkapi dengan kotak kendali peluncuran atau kotak kendali otomatis digital
4. Pompa dirancang menggunakan tegangan casing
5. Standar ukuran NEMA
1. Segel mekanis khusus
2. Tegangan atau frekuensi lain 60Hz
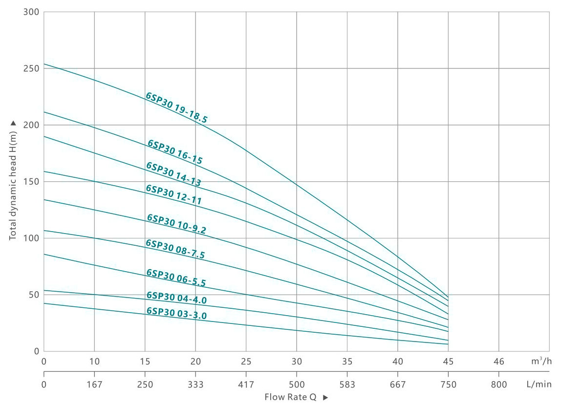
| Model | hal2 | Pengiriman n = 2850 rpm | |||||||||||
| 3~380v/415v | KW | HP |
Q L/mnt m³/jam |
0 | 167 | 250 | 333 | 417 | 500 | 583 | 667 | 750 | 800 |
| 0 | 10 | 15 | 20 | 25 | 30 | 35 | 40 | 45 | 46 | ||||
| 6SP30 03-3.0 | 3.0 | 4.0 | H(m) | 40 | 38 | 35 | 32 | 28 | 23 | 18 | 11 | 8 | 3 |
| 6SP30 04-4.0 | 4.0 | 5.5 | 53 | 50 | 46 | 42 | 38 | 31 | 24 | 14 | 10 | 4 | |
| 6SP30 06-5.5 | 5.5 | 7.5 | 79 | 75 | 69 | 64 | 56 | 47 | 36 | 22 | 16 | 5 | |
| 6SP30 08-7.5 | 7.5 | 10 | 106 | 100 | 92 | 85 | 75 | 62 | 48 | 29 | 21 | 8 | |
| 6SP30 10-9.2 | 9.2 | 12.5 | 132 | 125 | 115 | 106 | 94 | 78 | 60 | 36 | 26 | 9 | |
| 6SP30 12-11 | 11 | 15 | 158 | 150 | 138 | 127 | 113 | 94 | 72 | 43 | 31 | 10 | |
| 6SP30 14-13 | 13 | 17.5 | 185 | 175 | 161 | 148 | 132 | 109 | 84 | 50 | 36 | 12 | |
| 6SP30 16-15 | 15 | 20 | 211 | 200 | 184 | 170 | 150 | 125 | 96 | 58 | 42 | 13 | |
| 6SP30 19-18.5 | 18.5 | 25 | 251 | 238 | 219 | 201 | 179 | 148 | 114 | 68 | 49 | 14 | |
| Model | hal2 | Pengiriman n = 2850 rpm | |||||||||||
| 3~380v/415v | KW | HP |
Q L/mnt m³/jam |
0 | 333 | 417 | 583 | 667 | 767 | 833 | 917 | 1000 | 1100 |
| 0 | 20 | 25 | 35 | 40 | 46 | 50 | 55 | 60 | 71 | ||||
| 6SP46 02-3.0 | 3.0 | 4.0 | H(m) | 27 | 24 | 22 | 20 | 19 | 18 | 16 | 15 | 14 | 4 |
| 6SP46 03A-4.0 | 4.0 | 5.5 | 37 | 34 | 31 | 27 | 25 | 21 | 19 | 16 | 12 | 4 | |
| 6SP46 03-5.5 | 5.5 | 7.5 | 40 | 36 | 33 | 30 | 29 | 26 | 24 | 23 | 21 | 5 | |
| 6SP46 05-7.5 | 7.5 | 10 | 66 | 60 | 55 | 50 | 48 | 44 | 40 | 38 | 35 | 6 | |
| 6SP46 06-9.2 | 9.2 | 12.5 | 79 | 72 | 66 | 60 | 57 | 53 | 48 | 45 | 42 | 7 | |
| 6SP46 07-11 | 11 | 15 | 92 | 84 | 77 | 70 | 67 | 61 | 56 | 53 | 49 | 8 | |
| 6SP46 08-13 | 13 | 17.5 | 106 | 96 | 88 | 80 | 76 | 70 | 64 | 60 | 56 | 9 | |
| 6SP46 10-15 | 15 | 20 | 132 | 120 | 110 | 100 | 95 | 88 | 80 | 75 | 70 | 10 | |
| 6SP46 12-18.5 | 18.5 | 25 | 158 | 144 | 132 | 120 | 114 | 105 | 96 | 90 | 84 | 12 | |
| Model | hal2 | Pengiriman n = 2850 rpm | |||||||||||
| 3~380v/415v | KW | HP |
Q L/mnt m³/jam |
0 | 333 | 500 | 667 | 750 | 833 | 917 | 1000 | 1167 | 1333 |
| 0 | 20 | 30 | 40 | 45 | 50 | 55 | 60 | 70 | 80 | ||||
| 6SP60 02-4.0 | 4.0 | 5.5 | H(m) | 28 | 26 | 24 | 22 | 21 | 19 | 17 | 16 | 11 | 3 |
| 6SP60 03-5.5 | 5.5 | 7.5 | 42 | 39 | 36 | 34 | 31 | 29 | 26 | 23 | 17 | 4 | |
| 6SP60 04-7.5 | 7.5 | 10 | 56 | 52 | 48 | 46 | 43 | 38 | 34 | 31 | 22 | 5 | |
| 6SP60 05-9.2 | 9.2 | 12.5 | 70 | 65 | 60 | 55 | 52 | 48 | 43 | 39 | 28 | 6 | |
| 6SP60 06-11 | 11 | 15 | 84 | 78 | 72 | 67 | 63 | 57 | 51 | 47 | 33 | 7 | |
| 6SP60 07-13 | 13 | 17.5 | 98 | 91 | 84 | 78 | 73 | 67 | 60 | 55 | 39 | 8 | |
| 6SP60 08-15 | 15 | 20 | 112 | 104 | 96 | 89 | 84 | 76 | 68 | 62 | 44 | 9 | |
| 6SP60 09-18.5 | 18.5 | 25 | 126 | 117 | 108 | 100 | 94 | 86 | 77 | 70 | 50 | 10 | |
| Skala penerjun payung | |||||
| Model | A | B | C | D | E |
| 6SP30 03-3.0 | 1082 | 482 | 600 | 3"-4" | f145 |
| 6SP30 04-4.0 | 1212 | 502 | 710 | 3"-4" | f145 |
| 6SP30 06-5.5 | 1496 | 562 | 934 | 3"-4" | f145 |
| 6SP30 08-7.5 | 1772 | 612 | 1160 | 3"-4" | f145 |
| 6SP30 10-9.2 | 2072 | 687 | 1385 | 3"-4" | f145 |
| 6SP30 12-11 | 2342 | 732 | 1610 | 3"-4" | f145 |
| 6SP30 14-13 | 2612 | 782 | 1830 | 3"-4" | f145 |
| 6SP30 16-15 | 2891 | 837 | 2054 | 3"-4" | f145 |
| 6SP30 19-18.5 | 3247 | 857 | 2390 | 3"-4" | f145 |
| 6SP46 02-3.0 | 970 | 482 | 488 | 3"-4" | f145 |
| 6SP46 03A-4.0 | 1102 | 502 | 600 | 3"-4" | f145 |
| 6SP46 03-5.5 | 1162 | 562 | 600 | 3"-4" | f145 |
| 6SP46 05-7.5 | 1434 | 612 | 822 | 3"-4" | f145 |
| 6SP46 06-9.2 | 1621 | 687 | 934 | 3"-4" | f145 |
| 6SP46 07-11 | 1780 | 732 | 1048 | 3"-4" | f145 |
| 6SP46 08-13 | 1942 | 782 | 1160 | 3"-4" | f145 |
| 6SP46 10-15 | 2222 | 837 | 1385 | 3"-4" | f145 |
| 6SP46 12-18.5 | 2467 | 857 | 1610 | 3"-4" | f145 |
| 6SP60 02-4.0 | 998 | 502 | 496 | 4" | f145 |
| 6SP60 03-5.5 | 1170 | 562 | 608 | 4" | f145 |
| 6SP60 04-7.5 | 1332 | 612 | 720 | 4" | f145 |
| 6SP60 05-9.2 | 1519 | 687 | 832 | 4" | f145 |
| 6SP60 06-11 | 1676 | 732 | 944 | 4" | f145 |
| 6SP60 07-13 | 1838 | 782 | 1056 | 4" | f145 |
| 6SP60 08-15 | 2005 | 837 | 1168 | 4" | f145 |
| 6SP60 09-18.5 | 2137 | 857 | 1280 | 4" | f145 |
1. Sakelar daya
2. Kontrol otomatis kaset
3. Saluran pipa
4. Katup
5. paking
6. Tingkat statis
7. Tiang atas
8. Kabel
9. Ya
10. Tingkat pengadukan
11. Batang tengah
12. Rumah pompa
13. Tiang bawah
14. Motor listrik bawah air
| ukuran | Tegangan(v) | Kekuatan (kw) | Penampang kabel (mm²) | 0,7mm² | 1mm² | 1,5mm² | 2mm² | 2,5mm² | 3mm² | 4mm² | 6mm² | 10mm² | 16mm² | 25mm² | 35mm² | 50mm² |
| 4" | 220 | 0.37 | Panjang kabel (m) | 50 | 80 | 100 | ||||||||||
| 0.55 | 35 | 55 | 80 | 105 | 130 | |||||||||||
| 0.75 | 20 | 35 | 55 | 75 | 90 | 110 | 150 | |||||||||
| 0.95 | 32 | 52 | 70 | 85 | 105 | 140 | ||||||||||
| 1.1 | 30 | 48 | 60 | 79 | 100 | 127 | 190 | |||||||||
| 1.5 | 25 | 34 | 50 | 57 | 80 | 92 | 137 | 228 | ||||||||
| 1.8 | 23 | 32 | 48 | 55 | 78 | 90 | 135 | 226 | ||||||||
| 2.2 | 22 | 30 | 43 | 50 | 68 | 102 | 170 | 230 | ||||||||
| 3.0 | 25 | 30 | 45 | 60 | 80 | 120 | 200 | 330 | ||||||||
| 3.5 | 25 | 30 | 45 | 60 | 100 | 180 | 290 | |||||||||
| 4.0 | 25 | 35 | 55 | 90 | 150 | 220 | 300 |
| ukuran | Tegangan(v) | Kekuatan (kw) | Penampang kabel (mm²) | 0,7mm² | 1mm² | 1,5mm² | 2mm² | 2,5mm² | 3mm² | 4mm² | 6mm² | 10mm² | 16mm² | 25mm² | 35mm² | 50mm² |
| 4" | 380 | 0.37 | Panjang kabel (m) | 200 | 315 | |||||||||||
| 0.55 | 100 | 210 | 320 | |||||||||||||
| 0.75 | 80 | 165 | 280 | |||||||||||||
| 1.1 | 120 | 180 | 250 | 308 | ||||||||||||
| 1.5 | 90 | 150 | 200 | 250 | 300 | 400 | ||||||||||
| 2.2 | 65 | 114 | 150 | 191 | 250 | 305 | 457 | |||||||||
| 6" | 3.0 | 77 | 100 | 128 | 170 | 205 | 307 | 390 | ||||||||
| 4.0 | 61 | 80 | 102 | 120 | 153 | 244 | 406 | |||||||||
| 5.5 | 47 | 60 | 70 | 90 | 110 | 165 | 312 | |||||||||
| 7.5 | 65 | 80 | 130 | 200 | 320 | |||||||||||
| 9.2 | 72 | 108 | 178 | 282 | 432 | |||||||||||
| 11 | 63 | 94 | 155 | 246 | 370 | |||||||||||
| 13 | 78 | 129 | 205 | 314 | ||||||||||||
| 15 | 69 | 114 | 180 | 277 | ||||||||||||
| 18.5 | 55 | 91 | 145 | 222 | 305 | |||||||||||
| 22 | 49 | 81 | 128 | 196 | 290 | |||||||||||
| 25 | 68 | 107 | 165 | 226 | 314 | |||||||||||
| 30 | 60 | 95 | 145 | 200 | 275 | |||||||||||
| 37 | 52 | 82 | 125 | 170 | 234 | |||||||||||
| 45.0 | 45 | 71 | 108 | 147 | 203 |