Merek ZEN adalah produsen dan pemasok besar Pompa Submersible 4SP untuk Sumur Dalam di Cina. Pengidentifikasi* 4 kamar tidur*4: Diameter lubang bor: 100mm (4")*SP: Pompa submersible seri QJ* M: motor satu fasa (tiga fasa tanpa M)*2: Kapasitas (m³/jam)* 06: Adegan* 0,37 : Tenaga mesin (KW)
1. Untuk mensuplai air dari sumur atau waduk.
2. Untuk keperluan rumah tangga, sipil dan industri.
3. Untuk keperluan taman dan irigasi.
1. Suhu cairan maksimum bisa mencapai +35°C.
2. Kadar pasir maksimal : 0,25%.
3. Kedalaman menyelam maksimum: 100m.
4. Diameter sumur minimum: 4".
1. Motor listrik dengan banyak belitan atau layar tertutup penuh
2. Tiga fase: 380V - 415V / 50Hz
3. Fase tunggal: 220V - 240V / 50Hz
4. Dilengkapi dengan kotak kendali peluncuran atau kotak kendali otomatis digital
5. Pompa dirancang menggunakan tegangan casing
6. Standar ukuran NEMA
1. Segel mekanis khusus
2. Tegangan atau frekuensi lain 60Hz
| Model | hal2 | Pengiriman n = 2850 rpm | ||||||||||||
| 1~220v/240v | 3~380v/415v | KW | HP |
Q L/mnt m³/jam |
0 | 8 | 17 | 25 | 30 | 34 | 42 | 50 | 58 | 67 |
| 0 | 0.5 | 1 | 1.5 | 1.8 | 2 | 2.5 | 3 | 3.5 | 4 | |||||
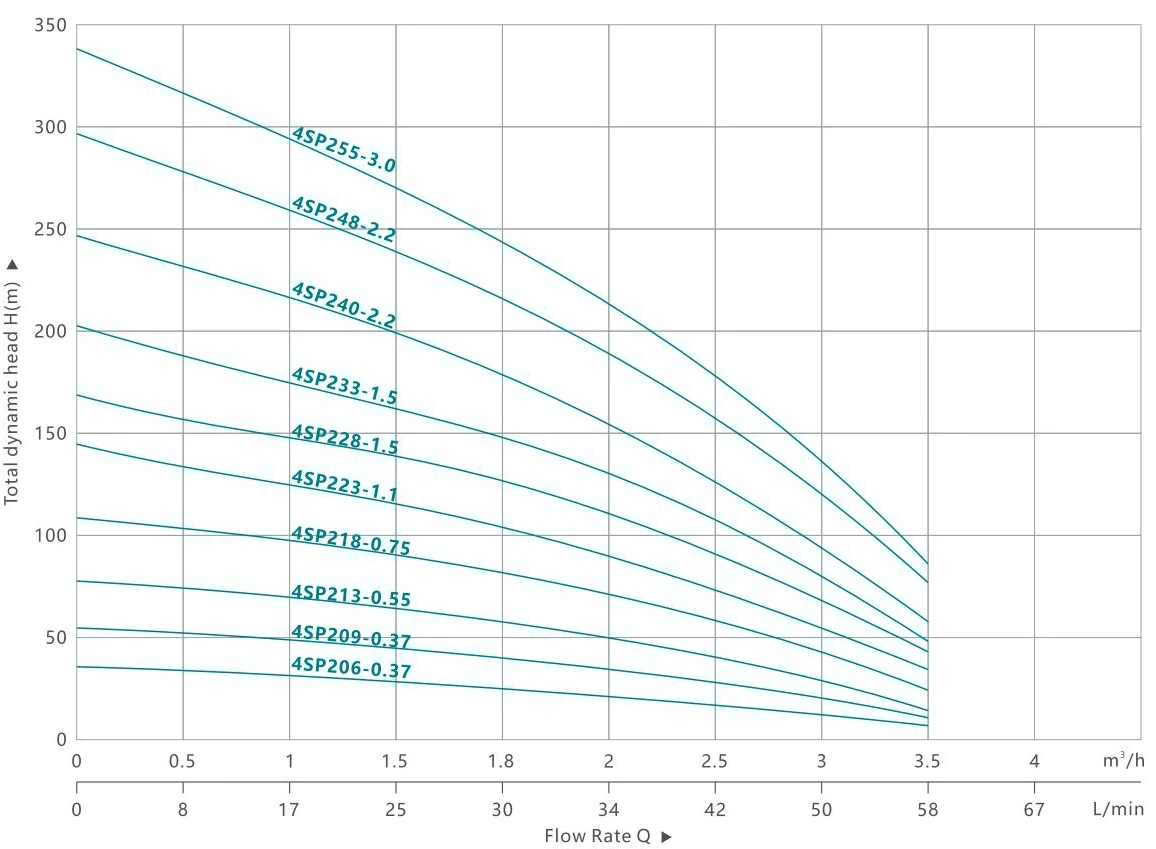
| 4SPM206-0.37 | 4SP206-0.37 | 0.37 | 0.5 | H(m) | 37 | 34 | 32 | 30 | 28 | 24 | 20 | 13 | 9 | 2 |
| 4SPM209-0.37 | 4SP209-0.37 | 0.37 | 0.5 | 55 | 51 | 48 | 45 | 41 | 36 | 30 | 19 | 13 | 2 | |
| 4SPM213-0,55 | 4SP213-0,55 | 0.55 | 0.75 | 79 | 74 | 69 | 65 | 60 | 52 | 43 | 27 | 19 | 2 | |
| 4SPM218-0,75 | 4SP218-0,75 | 0.75 | 1.0 | 110 | 102 | 95 | 90 | 83 | 72 | 59 | 38 | 26 | 3 | |
| 4SPM223-1.1 | 4SP223-1.1 | 1.1 | 1.5 | 140 | 130 | 122 | 115 | 106 | 92 | 76 | 48 | 33 | 3 | |
| 4SPM228-1.5 | 4SP228-1.5 | 1.5 | 2.0 | 171 | 159 | 148 | 140 | 129 | 112 | 92 | 59 | 41 | 4 | |
| 4SPM233-1.5 | 4SP233-1.5 | 1.5 | 2.0 | 201 | 187 | 175 | 165 | 152 | 132 | 109 | 69 | 48 | 5 | |
| 4SPM240-2.2 | 4SP240-2.2 | 2.2 | 3.0 | 244 | 227 | 212 | 200 | 184 | 160 | 132 | 84 | 58 | 6 | |
| 4SPM248-2.2 | 4SP248-2.2 | 2.2 | 3.0 | 293 | 272 | 254 | 240 | 221 | 192 | 158 | 101 | 70 | 7 | |
| 4SP255-3.0 | 3.0 | 4.0 | 336 | 312 | 292 | 275 | 253 | 220 | 182 | 116 | 80 | 8 | ||
| Model | hal2 | Pengiriman n = 2850 rpm | |||||||||||||
| 1~220v/240v | 3~380v/415v | KW | HP |
Q L/mnt m³/jam |
0 | 8 | 17 | 25 | 33 | 42 | 50 | 58 | 66 | 75 | 86 |
| 0 | 0.5 | 1 | 1.5 | 2 | 2.5 | 3 | 3.5 | 4 | 4.5 | 5.2 | |||||
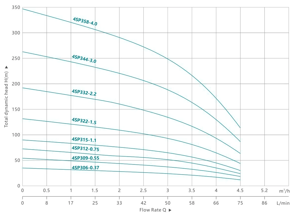
| 4SPM306-0,37 | 4SP306-0.37 | 0.37 | 0.5 | H(m) | 36 | 34 | 33 | 32 | 30 | 28 | 26 | 22 | 18 | 12 | 1 |
| 4SPM309-0,55 | 4SP309-0,55 | 0.55 | 0.75 | 54 | 51 | 49 | 47 | 45 | 42 | 39 | 34 | 27 | 18 | 2 | |
| 4SPM312-0,75 | 4SP312-0,75 | 0.75 | 1.0 | 72 | 68 | 66 | 63 | 60 | 56 | 52 | 44 | 36 | 24 | 2 | |
| 4SPM315-1.1 | 4SP315-1.1 | 1.1 | 1.5 | 90 | 86 | 82 | 79 | 75 | 71 | 65 | 56 | 45 | 30 | 3 | |
| 4SPM322-1.5 | 4SP322-1.5 | 1.5 | 2.0 | 132 | 125 | 121 | 116 | 110 | 103 | 95 | 82 | 66 | 44 | 4 | |
| 4SPM332-2.2 | 4SP332-2.2 | 2.2 | 3.0 | 192 | 182 | 176 | 169 | 160 | 150 | 138 | 119 | 96 | 64 | 6 | |
| 4SP344-3.0 | 3.0 | 4.0 | 264 | 250 | 242 | 232 | 220 | 207 | 190 | 164 | 132 | 88 | 9 | ||
| 4SP358-4.0 | 4.0 | 5.5 | 348 | 330 | 319 | 306 | 290 | 272 | 250 | 216 | 174 | 116 | 12 | ||
| Model | hal2 | Pengiriman n = 2850 rpm | ||||||||||||
| 1~220v/240v | 3~380v/415v | KW | HP |
Q L/mnt m³/jam |
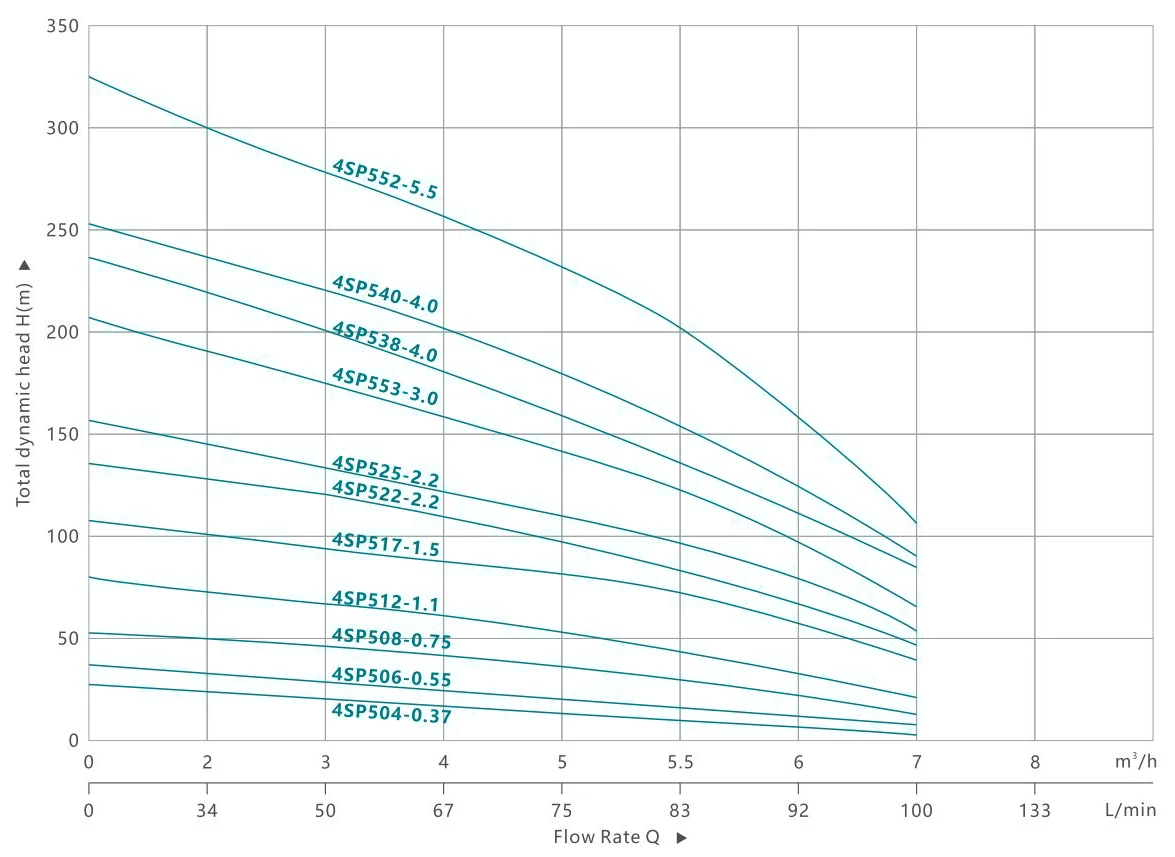
0 | 34 | 50 | 67 | 75 | 83 | 92 | 100 | 117 | 133 |
| 0 | 2 | 3 | 4 | 4.5 | 5 | 5.5 | 6 | 7 | 8 | |||||
| 4SPM504-0,37 | 4SP504-0,37 | 0.37 | 0.5 | H(m) | 25 | 23 | 21 | 20 | 17 | 16 | 14 | 12 | 8 | 2 |
| 4SPM506-0,55 | 4SP506-0,55 | 0.55 | 0.75 | 38 | 35 | 32 | 30 | 26 | 24 | 21 | 18 | 12 | 2 | |
| 4SPM508-0,75 | 4SP508-0,75 | 0.75 | 1.0 | 50 | 46 | 42 | 40 | 34 | 32 | 28 | 24 | 16 | 3 | |
| 4SPM512-1.1 | 4SP512-1.1 | 1.1 | 1.5 | 75 | 69 | 63 | 60 | 52 | 48 | 42 | 36 | 24 | 3 | |
| 4SPM517-1.5 | 4SP517-1.5 | 1.5 | 2.0 | 106 | 98 | 89 | 85 | 73 | 68 | 60 | 51 | 34 | 4 | |
| 4SPM522-2.2 | 4SP522-2.2 | 2.2 | 3.0 | 138 | 127 | 116 | 110 | 95 | 88 | 77 | 66 | 44 | 5 | |
| 4SPM525-2.2 | 4SP525-2.2 | 2.2 | 3.0 | 156 | 144 | 131 | 125 | 108 | 100 | 88 | 75 | 50 | 6 | |
| 4SP533-3.0 | 3.0 | 4.0 | 206 | 190 | 173 | 165 | 142 | 132 | 116 | 99 | 66 | 7 | ||
| 4SP538-4.0 | 4.0 | 5.5 | 238 | 219 | 200 | 190 | 163 | 152 | 133 | 114 | 76 | 8 | ||
| 4SP540-4.0 | 4.0 | 5.5 | 250 | 230 | 210 | 200 | 172 | 160 | 140 | 120 | 80 | 9 | ||
| 4SP552-5.5 | 5.5 | 7.5 | 325 | 299 | 273 | 260 | 224 | 208 | 182 | 156 | 104 | 11 | ||
| Model | hal2 | Pengiriman n = 2850 rpm | ||||||||||||
| 1~220v/240v | 3~380v/415v | KW | HP |
Q L/mnt m³/jam |
0 | 83 | 100 | 117 | 133 | 150 | 167 | 183 | 200 | 208 |
| 0 | 5 | 6 | 7 | 8 | 9 | 10 | 11 | 12 | 12.5 | |||||
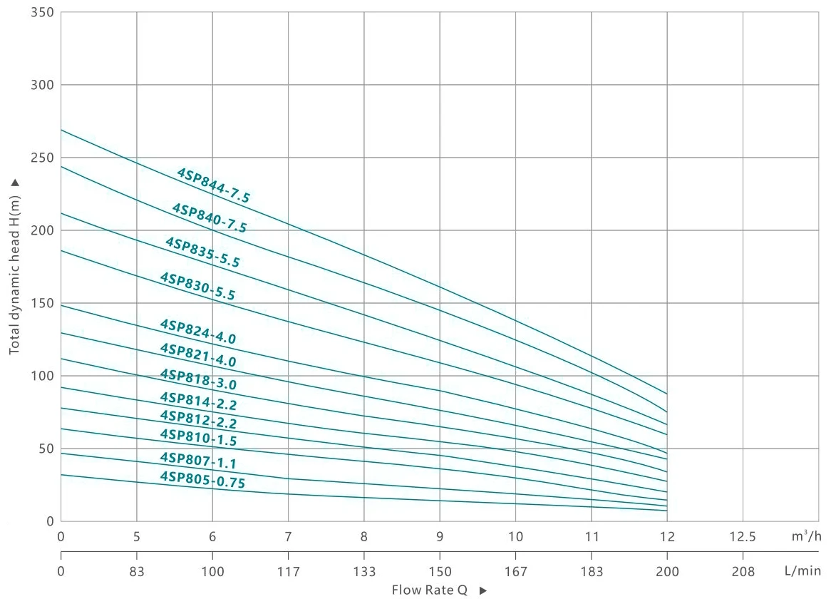
| 4SPM805-0,75 | 4SP805-0,75 | 0.75 | 1.0 | H(m) | 31 | 27 | 25 | 23 | 21 | 19 | 15 | 13 | 9 | 1 |
| 4SPM807-1.1 | 4SP807-1.1 | 1.1 | 1.5 | 43 | 38 | 35 | 32 | 29 | 27 | 21 | 18 | 13 | 1 | |
| 4SPM810-1.5 | 4SP810-1.5 | 1.5 | 2.0 | 61 | 54 | 50 | 46 | 42 | 38 | 30 | 25 | 19 | 2 | |
| 4SPM812-2.2 | 4SP812-2.2 | 2.2 | 3.0 | 73 | 65 | 60 | 55 | 50 | 46 | 36 | 30 | 23 | 3 | |
| 4SPM814-2.2 | 4SP814-2.2 | 2.2 | 3.0 | 85 | 76 | 70 | 64 | 59 | 53 | 42 | 35 | 27 | 3 | |
| 4SP818-3.0 | 3.0 | 4.0 | 110 | 97 | 90 | 83 | 76 | 68 | 54 | 45 | 35 | 4 | ||
| 4SP821-4.0 | 4.0 | 5.5 | 128 | 113 | 105 | 97 | 88 | 80 | 63 | 53 | 40 | 5 | ||
| 4SP824-4.0 | 4.0 | 5.5 | 146 | 130 | 120 | 110 | 101 | 91 | 72 | 60 | 46 | 6 | ||
| 4SP830-5.5 | 5.5 | 7.5 | 183 | 162 | 150 | 138 | 126 | 114 | 90 | 75 | 58 | 7 | ||
| 4SP835-5.5 | 5.5 | 7.5 | 214 | 189 | 175 | 161 | 147 | 133 | 105 | 88 | 67 | 8 | ||
| 4SP840-7.5 | 7.5 | 10 | 244 | 216 | 200 | 184 | 168 | 152 | 120 | 100 | 77 | 9 | ||
| 4SP844-7.5 | 7.5 | 10 | 268 | 238 | 220 | 202 | 185 | 167 | 132 | 110 | 85 | 10 | ||
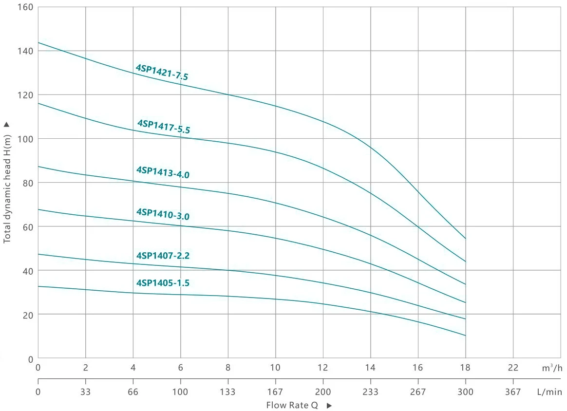
| Model | hal2 | Pengiriman n = 2850 rpm | |||||||||||||
| 1~220v/240v | 3~380v/415v | KW | HP |
Q L/mnt m³/jam |
0 | 33 | 66 | 100 | 133 | 167 | 200 | 233 | 267 | 300 | 367 |
| 0 | 2 | 4 | 6 | 8 | 10 | 12 | 14 | 16 | 18 | 22 | |||||
| 4SPM1405-1.5 | 4SP1405-1.5 | 1.5 | 2.0 | H(m) | 34 | 33 | 31 | 30 | 29 | 28 | 26 | 22 | 18 | 13 | 1 |
| 4SPM1407-2.2 | 4SP1407-2.2 | 2.2 | 3.0 | 48 | 46 | 43 | 42 | 40 | 39 | 36 | 30 | 25 | 18 | 2 | |
| 4SP1410-3.0 | 3.0 | 4.0 | 68 | 65 | 62 | 60 | 58 | 55 | 51 | 43 | 35 | 26 | 3 | ||
| 4SP1413-4.0 | 4.0 | 5.5 | 88 | 85 | 81 | 78 | 75 | 72 | 66 | 56 | 46 | 34 | 3 | ||
| 4SP1417-5.5 | 5.5 | 7.5 | 116 | 111 | 105 | 102 | 98 | 94 | 87 | 73 | 60 | 44 | 4 | ||
| 4SP1421-7.5 | 7.5 | 10 | 143 | 137 | 130 | 126 | 121 | 116 | 107 | 90 | 74 | 55 | 5 | ||
| Skala penerjun payung | |||||
| Model | A | B | C | D | E |
| 4SPM206-0.37 | 560 | 282 | 278 | 1¼"-1½" | f95 |
| 4SPM209-0.37 | 633 | 292 | 341 | 1¼"-1½" | f95 |
| 4SPM213-0,55 | 737 | 312 | 425 | 1¼"-1½" | f95 |
| 4SPM218-0,75 | 867 | 332 | 535 | 1¼"-1½" | f95 |
| 4SPM223-1.1 | 1047 | 412 | 635 | 1¼"-1½" | f95 |
| 4SPM228-1.5 | 1162 | 422 | 740 | 1¼"-1½" | f95 |
| 4SPM233-1.5 | 1287 | 442 | 845 | 1¼"-1½" | f95 |
| 4SPM240-2.2 | 1494 | 502 | 992 | 1¼"-1½" | f95 |
| 4SPM248-2.2 | 1687 | 527 | 1160 | 1¼"-1½" | f95 |
| 4SP240-2.2 | 1459 | 467 | 992 | 1¼"-1½" | f95 |
| 4SP248-2.2 | 1662 | 502 | 1160 | 1¼"-1½" | f95 |
| 4SP255-3.0 | 1859 | 552 | 1307 | 1¼"-1½" | f95 |
| 4SPM306-0,37 | 570 | 292 | 278 | 1¼"-1½" | f95 |
| 4SPM309-0,55 | 653 | 312 | 341 | 1¼"-1½" | f95 |
| 4SPM312-0,75 | 736 | 332 | 404 | 1¼"-1½" | f95 |
| 4SPM315-1.1 | 879 | 412 | 467 | 1¼"-1½" | f95 |
| 4SPM322-1.5 | 1056 | 442 | 614 | 1¼"-1½" | f95 |
| 4SPM332-2.2 | 1351 | 527 | 824 | 1¼"-1½" | f95 |
| 4SP332-2.2 | 1326 | 502 | 824 | 1¼"-1½" | f95 |
| 4SP344-3.0 | 1628 | 552 | 1076 | 1¼"-1½" | ①95 |
| 4SP358-4.0 | 1997 | 627 | 1370 | 1¼"-1½" | f95 |
| 4SPM504-0,37 | 540 | 292 | 248 | 1¼"-1½" | f95 |
| 4SPM506-0,55 | 608 | 312 | 296 | 1¼"-1½" | f95 |
| 4SPM508-0,75 | 676 | 332 | 344 | 1¼"-1½" | f95 |
| 4SPM512-1.1 | 852 | 412 | 440 | 1¼"-1½" | f95 |
| 4SPM517-1.5 | 1002 | 442 | 560 | 1¼"-1½" | f95 |
| 4SPM522-2.2 | 1182 | 502 | 680 | 1¼"-1½" | f95 |
| 4SPM525-2.2 | 1279 | 527 | 752 | 1¼"-1½" | f95 |
| 4SP522-2.2 | 1147 | 467 | 680 | 1¼"-1½" | f95 |
| 4SP525-2.2 | 1254 | 502 | 752 | 1¼"-1½" | f95 |
| 4SP533-3.0 | 1496 | 552 | 944 | 1¼"-1½" | f95 |
| 4SP538-4.0 | 1666 | 602 | 1064 | 1¼"-1½" | f95 |
| 4SP540-4.0 | 1739 | 627 | 1112 | 1¼"-1½" | f95 |
| 4SP552-5.5 | 2112 | 712 | 1400 | 1¼"-1½" | f95 |
| Skala penerjun payung | |||||
| Model | A | B | C | D | E |
| 4SPM805-0,75 | 750 | 332 | 418 | 1½"-2" | f95 |
| 4SPM807-1.1 | 914 | 412 | 502 | 1½"-2" | f95 |
| 4SPM810-1.5 | 1070 | 442 | 628 | 1½"-2" | f95 |
| 4SPM812-2.2 | 1214 | 502 | 712 | 1½"-2" | f95 |
| 4SPM814-2.2 | 1323 | 527 | 796 | 1½"-2" | f95 |
| 4SP812-2.2 | 1179 | 467 | 712 | 1½"-2" | f95 |
| 4SP814-2.2 | 1298 | 502 | 796 | 1½"-2" | f95 |
| 4SP818-3.0 | 1516 | 552 | 964 | 1½"-2" | f95 |
| 4SP821-4.0 | 1692 | 602 | 1090 | 1½"-2" | f95 |
| 4SP824-4.0 | 1843 | 627 | 1216 | 1½"-2" | f95 |
| 4SP830-5.5 | 2180 | 712 | 1468 | ½"-2" | f95 |
| 4SP835-5.5 | 2390 | 712 | 1678 | 1½"-2" | f95 |
| 4SP840-7.5 | 2690 | 802 | 1888 | 1½"-2" | f95 |
| 4SP844-7.5 | 2858 | 802 | 2056 | 1½"-2" | f95 |
| 4SPM1405-1.5 | 860 | 442 | 418 | 2" | f95 |
| 4SPM1407-2.2 | 1029 | 527 | 502 | 2" | f95 |
| 4SP1407-2.2 | 1004 | 502 | 502 | 2" | f95 |
| 4SP1410-3.0 | 1180 | 552 | 628 | 2" | f95 |
| 4SP1413-4.0 | 1381 | 627 | 754 | 2" | f95 |
| 4SP1417-5.5 | 1634 | 712 | 922 | 2" | f95 |
| 4SP1421-7.5 | 1892 | 802 | 1090 | 2" | f95 |
1. Sakelar daya
2. Kontrol otomatis kaset
3. Saluran pipa
4. Katup
5. paking
6. Tingkat statis
7. Tiang atas
8. Kabel
9. Ya
10. Tingkat pengadukan
11. Batang tengah
12. Rumah pompa
13. Tiang bawah
14. Motor listrik bawah air
| ukuran | Tegangan(v) | Kekuatan (kw) | Penampang kabel (mm²) | 0,7mm² | 1mm² | 1,5mm² | 2mm² | 2,5mm² | 3mm² | 4mm² | 6mm² | 10mm² | 16mm² | 25mm² | 35mm² | 50mm² |
| 4" | 220 | 0.37 | Panjang kabel (m) | 50 | 80 | 100 | ||||||||||
| 0.55 | 35 | 55 | 80 | 105 | 130 | |||||||||||
| 0.75 | 20 | 35 | 55 | 75 | 90 | 110 | 150 | |||||||||
| 0.95 | 32 | 52 | 70 | 85 | 105 | 140 | ||||||||||
| 1.1 | 30 | 48 | 60 | 79 | 100 | 127 | 190 | |||||||||
| 1.5 | 25 | 34 | 50 | 57 | 80 | 92 | 137 | 228 | ||||||||
| 1.8 | 23 | 32 | 48 | 55 | 78 | 90 | 135 | 226 | ||||||||
| 2.2 | 22 | 30 | 43 | 50 | 68 | 102 | 170 | 230 | ||||||||
| 3.0 | 25 | 30 | 45 | 60 | 80 | 120 | 200 | 330 | ||||||||
| 3.5 | 25 | 30 | 45 | 60 | 100 | 180 | 290 | |||||||||
| 4.0 | 25 | 35 | 55 | 90 | 150 | 220 | 300 |
| ukuran | Tegangan(v) | Kekuatan (kw) | Penampang kabel (mm²) | 0,7mm² | 1mm² | 1,5mm² | 2mm² | 2,5mm² | 3mm² | 4mm² | 6mm² | 10mm² | 16mm² | 25mm² | 35mm² | 50mm² |
| 4" | 380 | 0.37 | Panjang kabel (m) | 200 | 315 | |||||||||||
| 0.55 | 100 | 210 | 320 | |||||||||||||
| 0.75 | 80 | 165 | 280 | |||||||||||||
| 1.1 | 120 | 180 | 250 | 308 | ||||||||||||
| 1.5 | 90 | 150 | 200 | 250 | 300 | 400 | ||||||||||
| 2.2 | 65 | 114 | 150 | 191 | 250 | 305 | 457 | |||||||||
| 6" | 3.0 | 77 | 100 | 128 | 170 | 205 | 307 | 390 | ||||||||
| 4.0 | 61 | 80 | 102 | 120 | 153 | 244 | 406 | |||||||||
| 5.5 | 47 | 60 | 70 | 90 | 110 | 165 | 312 | |||||||||
| 7.5 | 65 | 80 | 130 | 200 | 320 | |||||||||||
| 9.2 | 72 | 108 | 178 | 282 | 432 | |||||||||||
| 11 | 63 | 94 | 155 | 246 | 370 | |||||||||||
| 13 | 78 | 129 | 205 | 314 | ||||||||||||
| 15 | 69 | 114 | 180 | 277 | ||||||||||||
| 18.5 | 55 | 91 | 145 | 222 | 305 | |||||||||||
| 22 | 49 | 81 | 128 | 196 | 290 | |||||||||||
| 25 | 68 | 107 | 165 | 226 | 314 | |||||||||||
| 30 | 60 | 95 | 145 | 200 | 275 | |||||||||||
| 37 | 52 | 82 | 125 | 170 | 234 | |||||||||||
| 45.0 | 45 | 71 | 108 | 147 | 203 |